ALGORITMA C4.5

Okey kawan, Cukup sampai disini dulu yah, Untuk masalah perhitungan matematikanya mungkin bisa dilain postingan, terima kasih telah berkunjung dan semoga bermanfaat.
Algoritma
c4.5 dikenal dengan algoritma yang membentuk keputusan berdasarkan pohon
keputusan (Decision tree) pada proses ini mampu menghasilkan keputusan yang
kompleks menjadi lebih sederhana.
Untuk
membangunan pohon keputusan pada algoritma C4.5 hal yang harus kita lakukan
adalah
- Memilih attributed sebagai akar
- Membuat cabang untuk setiap nilai yang tersedia
- Membagi kasus yang ada ke dalam cabang
- Mmegulangi semua proses yang dilakukan pada seluruh cabang yang ada sampai semua cabang memiliki kelas yang sama antar satu cabang dengan cabang yang lain.
Pemilihan akar pada setiap
attributed menggunakan dasar atau standard patokan dengan nilai gain tertinggi
dari seluruh attributed yang ada. Formula yang digunakan untuk mencari gain
adalah seperti dibawah ini.
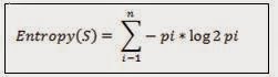
Setelah nilai gain diperoleh, masih ada hal yang
harus dicari lagi, yaitu nilai Entropy, Nilai Entropy ini nantinya akan
digunakan untuk menentukan sebarapa bergunanya (informastive) sebuah masukan
(input attribute) untuk memperoleh hasil (output attributed) yang relevan.

Okey kawan, Cukup sampai disini dulu yah, Untuk masalah perhitungan matematikanya mungkin bisa dilain postingan, terima kasih telah berkunjung dan semoga bermanfaat.








0 Komentar:
Post a Comment